2022-02-14浏览次数:
来源:国家知识产权局
(版权归原作者所有,本文仅供交流学习,部分文章推时未能及时与原作者取得联系,若来源标注错误或侵犯到您的权益,烦请告知,我们将立即删除)
封面图片来自网络

第二十四届冬季奥林匹克运动会正在北京和张家口隆重举办,来自全球90多个国家的冬奥健儿们奋勇拼搏,诠释了“更快、更高、更强、更团结”的奥林匹克精神,传递着“一起向未来”的文明和谐进取的美好愿景。
国家知识产权局高度重视冬奥会和冬残奥会知识产权保护工作,并持续深入开展打击恶意商标注册专项行动,先后对“北京2022”、 北京2022年冬奥会会徽和北京2022年冬残奥会会徽等予以特殊标志保护,对北京冬奥组委申请的“冰墩墩”“雪容融”等予以商标注册保护,对其他适格主体申请的“谷爱凌”等冬奥健儿姓名商标予以注册保护。
然而,2019年以来,少数企业、自然人以牟取不当利益为目的,将北京2022年冬奥会和冬残奥会吉祥物、运动健儿姓名等冬奥热词进行恶意抢注,委托代理机构提交商标注册申请,非法利用奥运会和奥组委的声誉,侵害他人姓名权及其他合法权益,造成了重大社会不良影响,损害了我国严格保护知识产权的良好形象。
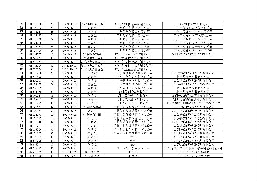
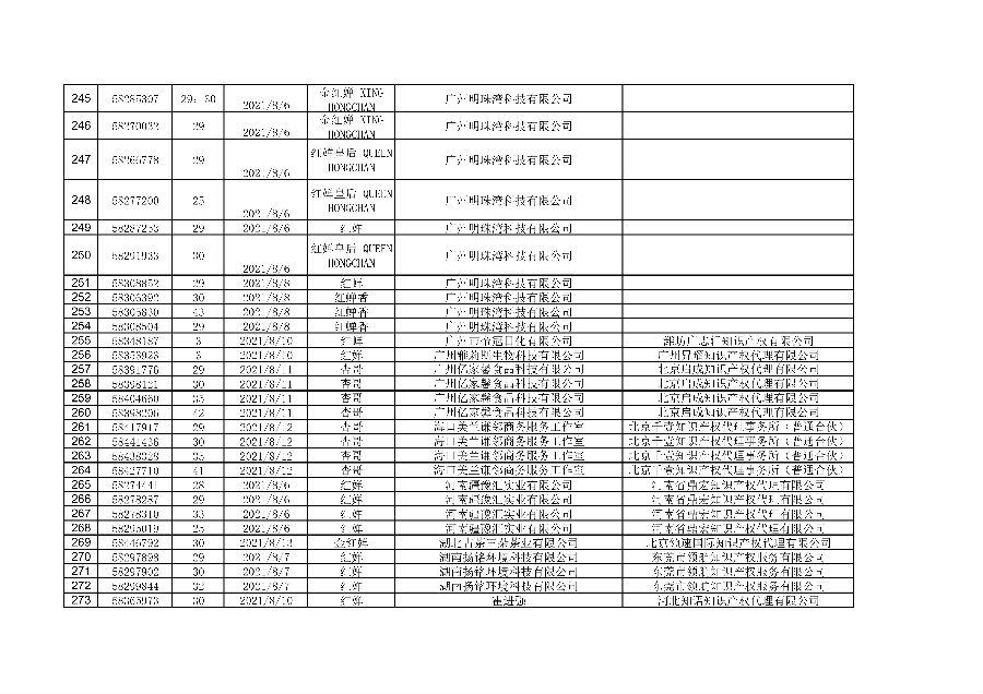
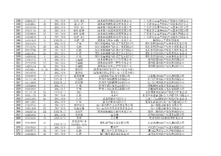
对此,国家知识产权局予以坚决打击,依据《奥林匹克标志保护条例》、《商标法》第十条第一款第(八)项等规定,对第41128524号“冰墩墩”、第62453532号“谷爱凌”等429件商标注册申请予以驳回(附件一);依据《商标法》第四十四条第一款规定,对已注册的第41126916号“雪墩墩”、第38770198号 “谷爱凌”等43件商标依职权主动宣告无效(附件二)。
办好北京2022年冬奥会和冬残奥会是中国政府对国际社会的庄严承诺,对相关知识产权实施全方位、立体化保护是国家知识产权局的职责所在。我局将一如既往地保持严厉打击商标恶意注册行为的高压态势,不断强化对包括冬奥吉祥物、运动健儿姓名在内的奥运热词进行严格保护,对违反诚实信用原则、恶意抢注商标图谋不当利益的申请人及其委托的商标代理机构依法依规进行严肃处理,持续为北京2022年冬奥会和冬残奥会保驾护航。欢迎社会公众对涉嫌恶意商标注册的行为进行监督和举报。
特此通告。
附件:1.驳回商标注册申请名单.pdf
2.依职权宣告注册商标无效名单.pdf
国家知识产权局
2022年2月14日














